Recursive
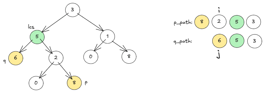
Between the two paths: (1) p -> root and (2) q -> root, the LCA -> root subpath is common. So, if the two paths have different lengths, the difference is in the prefix up to LCA. We can use two pointers to traverse the two paths such that they reach LCA at the same time.

For the longer path, we start ahead by the difference in path lengths.

Time: , space:
.
# Definition for a binary tree node.
# class TreeNode:
# def __init__(self, x):
# self.val = x
# self.left = None
# self.right = None
class Solution:
def get_path(self, root, u, curr_path):
if not root:
return None
curr_path.append(root)
if root == u:
return curr_path[::-1]
if root.left and (path := self.get_path(root.left, u, curr_path)):
return path
if root.right and (path := self.get_path(root.right, u, curr_path)):
return path
curr_path.pop()
def lowestCommonAncestor(self, root: 'TreeNode', p: 'TreeNode', q: 'TreeNode') -> 'TreeNode':
p_path = self.get_path(root, p, [])
q_path = self.get_path(root, q, [])
long, short = (p_path, q_path) if len(p_path) >= len(q_path) else (q_path, p_path)
i, j = len(long)-len(short), 0
# First match is lcs
while long[i] != short[j]:
i += 1
j += 1
return long[i]
Bottom up, LCA is the first node where (found_p, found_q) = (True, True). So, we can traverse the tree once to find the LCA.

# Definition for a binary tree node.
# class TreeNode:
# def __init__(self, x):
# self.val = x
# self.left = None
# self.right = None
class Solution:
def lowestCommonAncestor(self, root: 'TreeNode', p: 'TreeNode', q: 'TreeNode') -> 'TreeNode':
def find_lca(u, p, q):
if not u:
return None, False, False
lca, left_found_p, left_found_q = find_lca(u.left, p, q)
if lca:
return lca, True, True
lca, right_found_p, right_found_q = find_lca(u.right, p, q)
if lca:
return lca, True, True
found_p = left_found_p or right_found_p or u == p
found_q = left_found_q or right_found_q or u == q
lca = u if found_p and found_q else None
return lca, found_p, found_q
lca, *_ = find_lca(root, p, q)
return lca
Iterative
We simulate (found_p, found_q) based bottom up recursion using an explicit stack, visited set, and node_eval dict. Second time we visit a node, on the return path, the evaluation of its children is available. As soon as we find (found_p, found_q) = (True, True) we return the node.
# Definition for a binary tree node.
# class TreeNode:
# def __init__(self, x):
# self.val = x
# self.left = None
# self.right = None
class Solution:
def lowestCommonAncestor(self, root: 'TreeNode', p: 'TreeNode', q: 'TreeNode') -> 'TreeNode':
visited = set()
node_eval = {}
stack = [root]
while stack:
u = stack.pop()
if u not in visited:
visited.add(u)
stack.extend(v for v in (u, u.left, u.right) if v)
continue
# Return path: (found_p, found_q) evaluation of u's children are available
left_found_p, left_found_q = node_eval.get(u.left, (False, False))
right_found_p, right_found_q = node_eval.get(u.right, (False, False))
found_p = left_found_p or right_found_p or u == p
found_q = left_found_q or right_found_q or u == q
if found_p and found_q:
return u
node_eval[u] = (found_p, found_q)
return None
Leave a comment