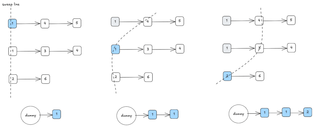
Sweep line
With the list heads in a min-heap, we can traverse them in sorted order using sweep line.

If we have a tuple like in the
heapq, the primary key is and the secondary key is
. The primary keys are compared using strictly-less-than operator. If there is a tie, the comparison is done using the secondary key. To get around this nuance, we use
ListHead having comparison using .
Say there are linked lists and the longest list have
nodes.
Time: , space:
.
from heapq import heapify, heappush as push, heappop as pop
class ListHead:
def __init__(self, head):
self.node = head
def has_next(self):
return bool(self.node.next)
def next(self):
return ListHead(self.node.next)
def __lt__(self, other):
return self.node.val <= other.node.val
# Definition for singly-linked list.
# class ListNode:
# def __init__(self, val=0, next=None):
# self.val = val
# self.next = next
class Solution:
def mergeKLists(self, lists: List[Optional[ListNode]]) -> Optional[ListNode]:
min_heap = [ListHead(head) for head in lists if head]
heapify(min_heap)
dummy = ListNode()
t = dummy
while min_heap:
list_head = pop(min_heap)
t.next = list_head.node
t = t.next
if list_head.has_next():
push(min_heap, list_head.next())
return dummy.next
Leave a comment